MathType6.9破解版是一款功能强大的数学公式编辑器,无论是学生、老师还是应用于更专业的领域,都能手到擒来。与常见的文字处理软件和演示程序配合使用,能够在各种文档中加入复杂的数学公式和符号,可用在编辑数学试卷、书籍、报刊、论文、幻灯演示等方面,是编辑数学资料的得力工具。
MathType6.9破解版百度云与常见文字处理工具紧密结合,支持 OLE(对象的链接与嵌入),可以在任何支持OLE的文字处理系统中调用(从主菜单中选择插入->对象在新对象中选择MathType),帮助用户快速建立专业化的数学技术文档,对Word或WPS等文字处理系统的支持相当好。

1.适用人群
学生、老师、理科专业工作者,理科生专用的必备工具,不论是简单的公式和符号,还是复杂的都可以轻松输入。
2.兼容个版本office
MathType与Office有很好的兼容性,可与office办公软件或WPS配合使用。
3.多平台支持
MathType数学公式编辑器适用于800+软件应用程序和网站建立公式。
4.支持手写
"编辑"菜单中的“打开输入数学面板”支持手写输入公式,智能识别手写内容,轻触鼠标编写即可完成。
5.自动化处理
MathType数学公式编辑器支持一键转换为Latex、Amslatex等代码,只需适当的修改就完成公式的编辑任务。

1、直观易用、所见所得的用户界面,与 Windows, Macintosh 环境中各种文字处理软件和出版软件兼容。
2、自动智能改变公式的字体和格式,适合各种复杂的公式,支持多种字体。
3、支持 TeX 和 LaTeX,以及国际标准 MathML,并能够把公式转化为支持 Web 的各种图形 (Gif 等),也支持 WMF 和 EPS 输出。
4、附加几十种专用符号字体,数百种公式符号和模版,涵盖数学、物理、化学、地理等科学领域。
一、公式编辑器分隔符怎么设置
本文会使用到mathtype作为例子,具体演示公式编辑器分隔符怎么设置。mathtype是一款专业的公式编辑器,可输入各种复杂的数学符号、公式等。下面会介绍分数分隔符、划分符与分隔符模板三种分隔符的设置。
1.分数分隔符
在公式的编辑中,常会使用中间横线作为分数的分隔符,而不是斜线。在mathtype中,只需使用分数模板即可轻松输入中间横线式的分隔符。
如图1所示,点击分数模板,选择第一行的两个分数模板(第一个是标准分数、第二个是上标分数),即可设置中间分隔符。

图1:分数分隔符
2.划分符
如果要输入两个公式间的分隔符,就需要通过mathtype的插入符号功能插入划分符,因其属于特殊符号一类。
如图2所示,打开编辑菜单,选择“插入符号”功能。

图2:插入符号
接着,在插入符号列表中找到划分符,不过mathtype的符号很多,人工找起来比较麻烦。实际上,使用查看范围功能,可快速搜索所需的符号。
如图3所示,在查看筛选中,将筛选指标设置为“描述”。然后,点击“新的搜索”,并在弹出的关键字匹配框中输入“划分”,点击“确定”。

图3:搜索描述
键入关键字后,mathtype会自动搜索符合的项目。搜索结果如图4所示,点击所需的划分符,下面的描述会显示符号名称。对于常用的特殊符号,可记住其符号名称,以便下次快速搜索。
选定符号后,点击“插入”,插入划分符。

图4:划分符
3.分隔符模板
通过分隔符模板设置的分隔符一般会带括号,如果需要同时添加括号与分隔符,建议使用分隔符模板。
展开如图5所示的括号模板,即可在展开的符号列表中找到带有分隔符的模板,通常以“竖线”展示,与划分符相似。

图5:含竖线的括号
二、公式编辑器分隔符怎么用
上述主要介绍了公式编辑器分隔符怎么设置,接下来,再继续了解公式编辑器分隔符怎么用。
1.分数分隔符
分数分隔符,顾名思义,就是用来编辑分数公式的分隔符。如图6所示,插入分数分隔符后,即可在上符号的上方与下方分别输入被除数与除数。

图6:含分数公式
2.划分符与分隔符模板
划分符与分隔符模板的用法相似,如图7所示,均常用于公式间的分隔,稍有不同的是,分隔符还常带有括号。

图7:划分符
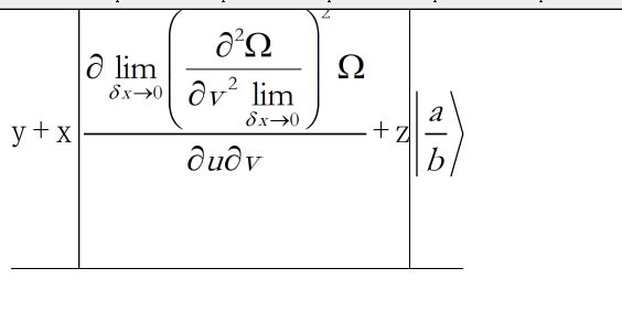
在同时使用多个分隔符时,可能会遇到格式对齐的问题。比如,图8所示的公式,由于左侧分数的上部分内容比较多,使其分数分隔符与右侧分数不对齐,看起来比较凌乱。

图8:分隔符未对齐
对于这类对齐问题,可通过分隔符对齐设置解决。如图9所示,打开格式菜单中的“分隔符对齐”选项。

图9:分隔符对齐
接着,如图10所示,选择所需的对齐模板。由于本例中分数的上部分内容比较多,因此需要选择第一个模板,然后点击“确定”。

图10:对齐方式
如图11所示,完成设置后,mathtype会自动完成对齐,公式看起来会整齐很多。

图11:完成对齐
三、小结
以上就是关于公式编辑器分隔符怎么设置,公式编辑器分隔符怎么用的相关内容。mathtype分隔符类型比较多,包括分数分隔符、划分符、分隔符模板等,适用于各种类型公式的间隔使用。另外,通过分隔符对齐功能,可很好地解决格式对齐问题。
……
【MathType6.9破解版下载】MathType6.9破解版百度云 v6.9b 电脑正式版 >>本地高速下载
>>本地下载