mathtype中文破解版百度云是一款功能强大、专业实用的数学公式编辑器软件,这款软件采用了非常简洁人性化的操作界面,相关用户在这里无需经过专业学习便可以进行各种符号、公式的输入编辑操作,这样就能够为相关用户的工作、学习过程带来极大的帮助。另外,该软件还能够为用户提供一系列模板,为用户省去了不少麻烦。

mathtype中文破解版百度云可以很好的用于到教育教学、科研机构、工程学、论文写作等一系列行业中去并且还可以与office软件完美兼容,这样就能够为用户带来极大的帮助。该软件更是支持手写输入操作方式,这样一来就能够轻松写下一系列复杂的公式推演全过程。
1、适用人群:学生、老师、理科专业工作者,理科生专用的必备工具,应用于教育教学、科研机构、工程学、论文写作、期刊排版、编辑理科试卷等领域。
2、兼容个版本office:MathType与Office有很好的兼容性
3、多平台支持:支持在任何文字处理软件、演示程序、页面程序、HTML编辑工具及其它类型的软件,用来建立公式
4、支持手写:"编辑"菜单中的“打开输入数学面板”支持手写输入公式,智能识别手写内容,轻触鼠标编写即可完成
5、自动化处理:支持一键转换为Latex、Amslatex等代码,并提供常用数学公式和物理公式模板,只需单击一次,这个公式便跃然纸上。

适用人群
MathType可适用于教育教学、科研机构、工程学等领域人群。
兼容各版本Office
与Office有很好的兼容性,支持各版本的Office软件。
多平台支持
可适用于800+软件应用程序和网站建立公式。
支持手写
支持手写输入公式,智能识别手写内容,轻触鼠标编写即可完成。
所见即所得
点击MathType界面中的模板,只需适当的修改就完成公式的编辑任务。
自动化处理
支持一键转换为Latex、Amslatex等代码,只需单击一次,公式便跃然纸上。
首先打开公式编辑器,进行公式编辑。首先我们需要熟悉一下编辑模板上有哪些公式,这些公式的位置在哪里。熟悉了之后再进行公式编辑的时候会更流畅 自如。

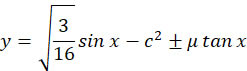
然后开始公式编辑,在这里我以

为例。接下来就是向大家讲解如何使用mathtype7来编辑这个公式。
1、先打出“y=”
2、接下来需要找到根号√的位置。选择√工具,然后我们需要在√的里面输入3/16,先找到“-”工具后在相应的位置输入相应的数字。公式模板具体位置如图所示:

3、然后sinx只需要直接输入就可以了,不需要模板。下一步我们要找到的模板是幂函数,点击相应的模板,输入数字2就可。里面的模板里都有一个黑点,黑点的位置就是等会儿需要输入数字的位置。所以这里面需要看清楚黑点的位置。不要选错了。

4、然后需要输入±号,这个公式的模板位置如图所示:

5、下一步是找到希腊字母μ,这个字母的位置如图所示,在这个模板里面基本上都是希腊字母。

6、最后只需要直接输入tanx就行了。让我们看一下最后公式编辑的效果。

这个公式的编辑过程讲述完了。可以看到,除了我讲的这些公式模板,还有很多其它的公式模板,只是我们这次没有使用上。但是使用方法都是一样的。大家可以用鼠标挨个点击看看都有哪些公式模板,记住它们的位置下次使用时候就能得心应手。

分式
【Ctrl+F】——分式(fractional)
【Ctrl+/】——斜杠分式
根式
【Ctrl+R】——根式(radical)
先按【Ctrl+T】放开后,再按【N】——n次根式
上下标
【Ctrl+H】——上标(high)
【Ctrl+L】——下标(low)
【Ctrl+J】——上下标
括号
【Ctrl+9】或【Ctrl+0】——小括号()
【Ctrl+[】或【Ctrl+]】——中括号[]
【Ctrl+】或【Ctrl+Shift+]】——大括号{}
先按【Ctrl+T】,放开后,再按【Shift+[】——左单边大括号
先按【Ctrl+T】,放开后,再按【Shift+]】——右单边大括号
导数与积分
【Ctrl+Alt+’】——单撇(一阶导数)
【Ctrl+Alt+"】——双撇(二阶导数)
【Ctrl+I】——定积分号(∫:integration)
先按【Ctrl+Shift+I】,放开后,再输入【!】——不定积分记号
分段函数或者矩阵间隔问题
MathType中使用“Cambria Math”字体,或者公式里面含有矩阵、扩展括号、括号或者圆括号时,这种空格问题就会出现。
解决方法:
1、在MathType的“样式”菜单中,选择“定义”。
2、在“定义样式”的简单模式中对话框中取消主要字体的“Cambria Math”字体,换用其它字体即可。
3、在高级模式中取消文本、函数功能、变量、向量矩阵和数字的“Cambria Math”字体,换用其它字体即可。
4、如果你想要使公式仍然具有“Cambria Math”字体的风格,你可以使用“Cambria”字体,这个字体与“Cambria Math”字体看起来是一样的,但是使用起来没有任何问题。
……
【mathtype中文破解版百度云】mathtype中文破解版百度云下载 v6.9 电脑正式版 >>本地高速下载
>>本地下载